"Just a spoon full of sugar helps the medicine go down."-Mary Poppins
This all so familiar lyric simply states that in our hardest task can also be found a morsel of goodness. The most common morsel of goodness: sugar.
People first learn that sugar is good when first born through mother's milk. From then on we seek this energy giving flavor. Early humans found this sweetness in the form of fruit, honey and maple syrup.
The History
The word sugar is derived from sharkara, which is Sanskrit for gravel or small chunks of material. When sugar started to be refined, the major source was sugar cane, Saccharum officinarum, originating in New Guinea. Prehistoric humans carried the sugar cane into Asia. It was the Indians that first refined the sugar sometime before 500 BC. This was done by boiling down the juice pressed from the cane into raw sugar crystals coated with a dark syrup, called gur. Later on, around 350 BC, Indian medical journals were describing ways to wash the dark syrup off of the crystals creating refined white sugars.
As the centuries passed, nomads and conquering nations carried sugar west to Persia, then further on to northern Africa and then all the way to Spain. It was Arab cooks that were the founders of taking sugar to a new level by making different concoctions with sugar (e.g. marzipan paste, flavored syrup) and using it as a sculpting medium.
The Crusades in the 11th century introduced sugar to the Europeans. It was first treated like any other spice from the Middle East, as a flavoring and medicine. Apothecaries used it to mask the bitterness of their medicines as well as serve as a medium for delivery. (Again, referring to those two spoons of sugar).
It is believed that a French druggist made the first non medicinal treat in around the year 1200. He simply coated almonds with sugar. Europeans started using sugar to flavor different main course dishes and later on, desserts.
Infatuation with sugar and the colonization of the west spread sugar cane over a larger area making it more readily available. The use of slaves to cultivate the sugar is believed to be a major force behind drive of the expansion of slavery. The abolishment of slavery in the United States and Britain began the downfall of big sugar industries.
Another downfall came from the invention of the sugar beet. The sugar beet can be grown in northern climates making sugar even more readily available. The sugar beet didn't really gain popularity until Napoleon Bonaparte sought out more ways to free France from dependence on English commodities, sugar being one of them.
It is believed that a French druggist made the first non medicinal treat in around the year 1200. He simply coated almonds with sugar. Europeans started using sugar to flavor different main course dishes and later on, desserts.
Infatuation with sugar and the colonization of the west spread sugar cane over a larger area making it more readily available. The use of slaves to cultivate the sugar is believed to be a major force behind drive of the expansion of slavery. The abolishment of slavery in the United States and Britain began the downfall of big sugar industries.
Another downfall came from the invention of the sugar beet. The sugar beet can be grown in northern climates making sugar even more readily available. The sugar beet didn't really gain popularity until Napoleon Bonaparte sought out more ways to free France from dependence on English commodities, sugar being one of them.
Today sugar beets make up 30% of sugar in the world, Russia, Germany and the United States being the major growers. India and Brazil are the major growers of sugar cane.
The Science
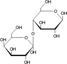
All sugar is made of three atoms; carbon, hydrogen and oxygen. These three atoms can be rearranged to make different forms of sugar: glucose, maltose, fructose, lactose and sucrose.

Glucose, which goes by a couple of other names; dextrose and "blood sugar", is what provides energy to living cells. It's the most common of the sugars and it also provides the base for starch to form. The most familiar form at the grocery store is corn syrup.

Glucose, which goes by a couple of other names; dextrose and "blood sugar", is what provides energy to living cells. It's the most common of the sugars and it also provides the base for starch to form. The most familiar form at the grocery store is corn syrup.
Fructose has the same chemical equation as glucose, just with a slightly different structure. It is found in fruits, vegetables and honey and is the sweetest of the sugar family. It tends to metabolize more slowly than the other sugars, which means it is more preferable for diabetics since it raises the blood glucose level more slowly as well.
Lactose is the sugar found in milk. When ingested, the body produces a chemical called lactase that will break the lactose down. In some people, the production of lactase decreases with age creating an intolerance to lactose.

The star of the show is sucrose, or table sugar. It's made when the glucose molecule and the fructose molecule bond. It is sucrose that we extract from sugar cane and sugar beets.
The shape of all these molecules form the backbone of cooking with sugar. These crystal formations are a fortress that can withstand a high amount of abuse while at the same time playing well with others. It mixes well with water and can be boiled down so that each crystal will bond with eachother creating larger crystalline structures.
Once mixed with water and heated, the water concentration decreases allowing the temperature of the mix to increase. The higher the temperature, the more crystals bond together forming a harder end product.
17th century confectioners developed a system for categorizing the stage at which the desired consistency is achieved. These chefs must have had fingers made of asbestos because they would check for doneness by rolling it in between their fingers. Later they would observe the reaction after they dropped a piece of it into a glass of water. The sugar would cool quickly and show immediately how large the crystal formation became. This showed the ball or candy stages.
- 230 to 235 degrees is the thread stage. This stage is just right for syrups.
- 235 to 240 degrees is the soft ball stage. This consistency is desirable for fudge.
- 245 to 250 degrees is the firm ball stage. This is great for divinity and other chewy candies
- 250 to 265 degrees is the hard ball stage. This the stage you want for marshmallows.
- 270 to 290 degrees is the soft crack stage. People in Atlantic City seek this stage for their salt water taffy.
- 300 to 310 degrees is the hard crack stage. This is the stage wanted for hard candies such as lollipops.
- 320 to 360 degrees is the caramel stage. This is when the molecules finally break apart and form a whole new palette of flavors. This is also the point that is pretty tricky, the line that separates caramel from burnt is extremely thin.
The Dish
One of the first things to come to mind when talking about sugar is hard candy or lollipops. If you were to check out trending topics right now in pops, you'll see Wilton's cake pops, a delectable combination of cake and lollipops!
I wanted to go a step further. Another great confection-on-a-stick is a bright red (or caramel covered) candied apple. So, I decided to make a hybrid of the candied apple and Wilton's cake pops.
The Recipe
My goto recipe for an apple cake is America's Test Kitchen's Applesauce Snack Cake. It has a trio of apple-y goodness in the forms of apple cider, dehydrated apples and applesauce. (Note: I didn't have any applesauce when I made this, but I did have plenty of fresh apples, so I quickly peeled, chopped and cooked down the apples with some apple cider and a little cinnamon to make the requested 1 cup of applesauce)
Applesauce Snack Cake
from the Episode: Easy Apple Desserts
This recipe can be easily doubled and baked in a 13 by 9-inch baking dish. If doubling the recipe, give the cider and dried apple mixture about 20 minutes to reduce and bake the cake for about 45 minutes. The cake is very moist, so it is best to err on the side of overdone when testing its doneness. The test kitchen prefers the rich flavor of cider, but apple juice can be substituted. Cooled leftovers can be wrapped in plastic wrap and stored at room temperature for up to 2 days.
Makes one 8-inch square cake
3/4 cup dried apples (2 ounces), cut into 1/2-inch pieces
1 cup apple cider
1 1/2 cups unbleached all-purpose flour (7 1/2 ounces)
1 teaspoon baking soda
2/3 cup sugar (4 3/4 ounces)
1/2 teaspoon ground cinnamon
1/4 teaspoon fresh ground nutmeg
1/8 teaspoon ground cloves
1 cup unsweetened applesauce , room temperature
1 large egg , room temperature, lightly beaten
1/2 teaspoon table salt
8 tablespoons unsalted butter (1 stick), melted and cooled slightly
1 teaspoon vanilla extract
- Adjust oven rack to middle position; heat oven to 325 degrees. Cut 16-inch length parchment paper or aluminum foil and fold lengthwise to 7-inch width. Spray 8-inch square baking dish with nonstick cooking spray and fit parchment into dish, pushing it into corners and up sides; allow excess to overhang edges of dish.
- Bring dried apples and cider to simmer in small saucepan over medium heat; cook until liquid evaporates and mixture appears dry, about 15 minutes. Cool to room temperature.
- Whisk flour and baking soda in medium bowl to combine; set aside. In second medium bowl, whisk sugar, cinnamon, nutmeg, and cloves. Measure 2 tablespoons sugar-spice mixture into small bowl and set aside for topping.
- In food processor, process cooled dried-apple mixture and applesauce until smooth, 20 to 30 seconds, scraping sides of bowl as needed; set aside. Whisk egg and salt in large bowl to combine. Add sugar-spice mixture and whisk continuously until well combined and light colored, about 20 seconds. Add butter in three additions, whisking after each. Add applesauce mixture and vanilla and whisk to combine. Add flour mixture to wet ingredients; using rubber spatula, fold gently until just combined and evenly moistened.
- Turn batter into prepared pan, smoothing top with rubber spatula. Sprinkle reserved 2 tablespoons sugar-spice mixture evenly over batter. Bake until wooden skewer inserted in center of cake comes out clean, 35 to 40 minutes. Cool on wire rack to room temperature, about 2 hours. Run knife along cake edges without parchment to release. Remove cake from pan by lifting parchment overhang and transfer to cutting board. Cut cake and serve.
The next step was to make the coatings:
1 cup water
1/2 cup corn syrup
2 cups sugar
1 teaspoon cinnamon flavoring
1 teaspoon red coloring
Boil water, syrup, and sugar together until a brown caramel color is reached (at about 250 degrees F on a candy thermometer). Remove from the heat and add cinnamon and red coloring. Cool slightly.
This is where the science of candy making comes into play. The sugar/corn syrup/ water solution gets taken up to the firm ball stage for a chew candy consistency. While boiling, it is best to keep the lid on so the condensation rolls down the side of the pot or to keep washing the sides of the pot with a wet brush. The side of the pot is cooler than the base and crystals prematurely form. If these crystals get into the solution, they’ll throw the balance off.
Adding corn syrup to this solution also helps control the crystal formation since it is mostly glucose. Glucose is almost the same as the sucrose, but not quite. It is different enough to create a sort of impurity which slows the formation of the crystals making this recipe easier to control.
This is where the science of candy making comes into play. The sugar/corn syrup/ water solution gets taken up to the firm ball stage for a chew candy consistency. While boiling, it is best to keep the lid on so the condensation rolls down the side of the pot or to keep washing the sides of the pot with a wet brush. The side of the pot is cooler than the base and crystals prematurely form. If these crystals get into the solution, they’ll throw the balance off.
Adding corn syrup to this solution also helps control the crystal formation since it is mostly glucose. Glucose is almost the same as the sucrose, but not quite. It is different enough to create a sort of impurity which slows the formation of the crystals making this recipe easier to control.
Caramel Coating (recipe from Kraft Caramel package)
1 pkg. (14 ounce) KRAFT Caramels (about 50)
1 tablespoon water
Microwave caramels and water in large microwavable bowl on HIGH 2 1/2 to 3 minutes or until caramels are completely melted, stirring after each minute.
Note: I reduced this to a quarter of the package and a splash of water.
Note: I reduced this to a quarter of the package and a splash of water.
The Method
After the cake was cooled, I took half the cake and broke it into crumbs, then mixed in about a quarter cup of Wilton's decorator icing.

Using a #24 disher (3 1/2 tablespoons), I portioned out and rolled the cake/frosting mixture into balls and firmed them up a little in the freezer.

After about 20 minutes, I melted a few squares of Kraft Caramels and dipped the sticks in before inserting into the cake balls. The solid caramel not only is a happy surprise in the center of the pop, but is a multitasker acting as a glue to bond the stick to the cake.
Knowing that both the caramel and the candy coating are going to be at a cake-pop-melting 250 degrees, I froze the pops for about two hours to reduce the loss from the melt.
Finally, I coated half the balls with the caramel and the other half with the candy coating.
Using a #24 disher (3 1/2 tablespoons), I portioned out and rolled the cake/frosting mixture into balls and firmed them up a little in the freezer.
After about 20 minutes, I melted a few squares of Kraft Caramels and dipped the sticks in before inserting into the cake balls. The solid caramel not only is a happy surprise in the center of the pop, but is a multitasker acting as a glue to bond the stick to the cake.
Knowing that both the caramel and the candy coating are going to be at a cake-pop-melting 250 degrees, I froze the pops for about two hours to reduce the loss from the melt.
Finally, I coated half the balls with the caramel and the other half with the candy coating.
- Brown, Alton, Good Eats: The Early Years
,New York, NY,Stewart, Tabori & Chang,2009
- Corriher, Shirley O., Cookwise: The Hows and Whys of Successful Cooking
, New York, NY HarperCollins, 1997
- McGee, Harold, On Food and Cooking: The Science and Lore of the Kitchen
, New York, NY,Scribner, 2004













